

双相情感障碍(Bipolar Disorder, BD)是一种严重的慢性精神疾病,其终生患病率约为1–3%[1],以抑郁、躁狂或轻躁狂发作反复出现为特征。在多数患者中,抑郁发作(Bipolar Depression, BD-D)更为常见,不仅显著损害社会功能和生活质量,还与较高的自杀风险密切相关[2,3]。目前,药物治疗仍是BD-D的主要干预手段,包括心境稳定剂、抗精神病药物以及部分抗抑郁药物的辅助应用。然而,现有药物疗效存在明显个体差异,且常伴随代谢综合征、体重增加、锥体外系反应等副作用,导致患者的治疗依从性普遍偏低[4]。因此,开发安全、耐受性好且起效迅速的新型治疗方法已成为精神病学领域的重要挑战。近年来,非侵入性脑刺激技术在抑郁症治疗中展现出潜在优势,例如经颅磁刺激(TMS)和经颅直流电刺激(tDCS)已被证实对部分患者具有一定疗效[5,6]。然而,这些技术在双相抑郁中的证据仍有限,且在靶向精度和刺激深度等方面存在不足。

近日,浙江大学医学院附属第一医院胡少华教授团队联合浙江大学求是高等研究院张韶岷教授团队在Molecular Psychiatry发表题为《Transcranial temporal interference stimulation for treating bipolar disorder with depressive episodes: a feasibility study》的研究论文[7]。该研究首次在国际上将经颅时域干涉电刺激(Transcranial Temporal Interference Stimulation, tTIS)这一新型无创深部脑刺激技术应用于双相障碍抑郁发作(BD-D)患者的临床干预,开创性地为BD-D的治疗提供了新的思路与方法。研究结果显示,tTIS能够对患者大脑深部结构实现精准调控,显著改善抑郁症状并提升认知功能,展现出良好的临床可行性和应用前景。

图1. 经颅时域干涉电刺激技术原理
tTIS是一种新兴的非侵入性脑刺激技术,通过在大脑深部结构产生时域上的干涉来调节神经元活动。其原理是利用两个高频正弦波形,通过它们的相互作用在目标脑区产生低频调制的电场。这种技术的优势在于能够精准刺激大脑深部结构,如参与奖励处理和情绪调节密切相关的关键区域,伏隔核(Nucleus Accumbens, NAcc)。

图2. tTIS干预对抑郁和焦虑症状的影响
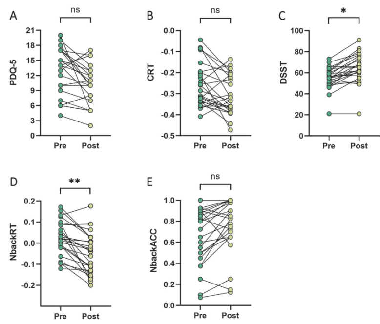
在这项研究中,研究人员招募了36名双相抑郁患者,其中25人完成了为期5天的干预,包括10次tTIS治疗。每次治疗持续20分钟,最大电流强度为2毫安,刺激频率为40赫兹。结果显示,治疗后患者的抑郁症状显著减轻,汉密尔顿抑郁量表(HAMD-17)平均得分从23.36降至16.16(p<0.0001),蒙哥马利-阿斯伯格抑郁量表(MADRS)得分从39.12降至31.28(p<0.01)。此外,患者的焦虑症状也有所改善,汉密尔顿焦虑量表(HAMA)得分从19.68降至15.44(p<0.05)。认知功能评估显示,患者的记忆和执行功能有所改善,且奖励相关的大脑活动变化与症状减轻呈正相关。

图3. tTIS干预对认知功能的影响
在治疗过程中,患者报告的不良事件主要为轻微的头皮刺痛和头晕,这些反应均为短暂的,且未对治疗产生影响。没有患者报告严重的不良事件,这表明tTIS技术具有良好的安全性和耐受性。

图4. 患者奖励预期期间的大脑活动变化
尽管这项研究的结果令人鼓舞,但仍有一些局限性需要在未来的研究中解决。首先,这项研究是一个开放标签的单臂试验,缺乏安慰剂对照组,这可能影响对治疗效果的准确评估。其次,样本量相对较小,限制了结果的普遍性。未来的研究需要在更大的样本中进行随机对照试验,以进一步验证tTIS技术的疗效和安全性。此外,tTIS技术的长期疗效和潜在影响也需要进一步研究。双相情感障碍是一种慢性复发性疾病,长期的治疗效果和预防复发的潜力是评估任何新疗法的关键因素。研究人员计划在未来的研究中纳入长期随访,以评估tTIS治疗的持久效果。
经颅时域干涉电刺激(tTIS)技术为双相抑郁的治疗提供了一种全新的可能性。作为一种非侵入性、安全且可能快速起效的干预手段,它不仅有望改善患者的生活质量,还可在一定程度上减少药物治疗带来的副作用。随着相关研究的深入和技术的不断优化,tTIS有望成为双相抑郁治疗领域的重要突破,为更多患者带来新的希望与帮助。
产品推介
在本研究中,研究团队采用山海医疗研制的山海无创脑深部神经调控系统(SHTIS)开展tTIS干预,实现了对大脑深部核团的高效、精准调控。

南京山海医疗科技有限公司推出的SHTIS无创脑深部神经调控系统(NeuroTIS科研版) 基于国际前沿的时域干涉刺激(tTIS)技术,突破了传统脑深部刺激的侵入性局限,实现了无需开颅即可精准调控大脑深部靶区(如丘脑底核等关键区域)。该系统通过多频电场耦合实现深部组织的选择性激活,同时有效规避对浅表神经的干扰,并结合智能仿真与调控软件,确保干预过程的安全性与实时性。凭借这一创新性方案,山海医疗无创脑深部神经调控系统不仅为神经精神疾病的治疗提供了新思路,也为脑科学研究开辟了新的技术路径。
原文链接:https://www.nature.com/articles/s41380-025-03292-7
参考文献:
[1] Merikangas KR, Jin R, He JP, et al. Prevalence and severity of bipolar disorder worldwide: results from the WHO World Mental Health Survey Initiative. Arch Gen Psychiatry. 2011;68(3):241-251.
[2] Judd LL, Akiskal HS, Schettler PJ, et al. The long-term natural history of the weekly symptomatic status of bipolar I disorder. Arch Gen Psychiatry. 2002;59(6):530-537.
[3] Baldessarini RJ, Pompili M, Tondo L. Suicide in bipolar disorder: risks and management. CNS Spectr. 2006;11(6):465-471.
[4] Yatham LN, Kennedy SH, Parikh SV, et al. Canadian Network for Mood and Anxiety Treatments (CANMAT) and International Society for Bipolar Disorders (ISBD) 2018 guidelines for the management of patients with bipolar disorder. Bipolar Disord. 2018;20(2):97-170.
[5] Mutz J, Vipulananthan V, Carter B, Hurlemann R, Fu CHY. Efficacy and safety of non-invasive brain stimulation for the treatment of adult unipolar and bipolar depression: a systematic review and meta-analysis of randomised sham-controlled trials. Neurosci Biobehav Rev. 2019;104:203-218.
[6] Malik G, Mishra P, Godi SM, Garg S, Tikka SK. Efficacy of theta burst stimulation in bipolar depression: a systematic review and meta-analysis. J ECT. 2024;40(1):23-31.
Zhou H, Wang M, Qi S, et al. Transcranial temporal interference stimulation for treating bipolar disorder with depressive episodes: a feasibility study. Mol Psychiatry. 2025.
本文由“BRAIN TECH”整理发布,如需转载请注明来源及出处,原文地址:http://www.shmedgroup.com/news/22.html




